您好,绍兴素廷生物医药有限公司官方网站!
全球服务热线:
15924077789
简体中文
English
素廷生物医药
网站首页
公司简介
产品展示
新闻资讯
在线留言
联系我们
创新技术为主导
品质服务为宗旨
创新技术为主导
品质服务为宗旨
Innovative technology is dominant.
Quality service is our tenet.
产品展示
化妆品原料
保健品、食品添加剂
含氟溶剂、清洗剂原料
中间体
13
关闭分类
绍兴素廷生物医药有限公司
产品分类
化妆品原料
保健品、食品添加剂
含氟溶剂、清洗剂原料
中间体
搜索
名称
描述
内容
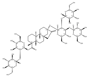
甜菊糖苷/莱鲍迪苷D
产品名称:
甜菊糖苷/莱鲍迪苷D
英文名称:
Rebaudioside D
CAS
号:
63279-13-0
功能:抗肿瘤,辅助降压,调节血脂,辅助降血糖,抑制病原菌,促进矿物质吸收。
0.00
0.00
商品信息
产品介绍
产品名称:
甜菊糖苷/莱鲍迪苷D
英文名称:
Rebaudioside D
CAS
号:
63279-13-0
功能:抗肿瘤,辅助降压,调节血脂,辅助降血糖,抑制病原菌,促进矿物质吸收。
产品名称:
甜菊糖苷
/莱鲍迪苷D
英文名称:
Rebaudioside D
CAS
号:
63279-13-0
结构式:
功能:抗肿瘤,辅助降压,调节血脂,辅助降血糖,抑制病原菌,促进矿物质吸收。
上一个:
吡咯喹啉醌酸(PQQ)
下一个:
烟酰胺核糖苹果酸盐(NRHM)